Loading...

Problem Solving 

How do you use what you have learned to problem solve?

Goal:

Goal:

measuring penguin

Practice!

Goal: Apply what you have learned about measuring to the nearest half inch to solve a word problem.

Can you measure an item to the nearest half inch to solve a word problem? You will need a piece of lined paper. Follow the problem-solving steps to find the answer. Then, click the tabs to see how!

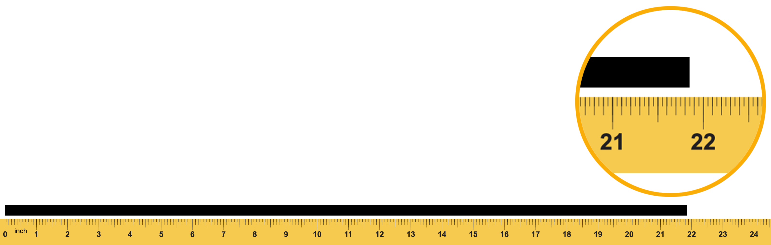
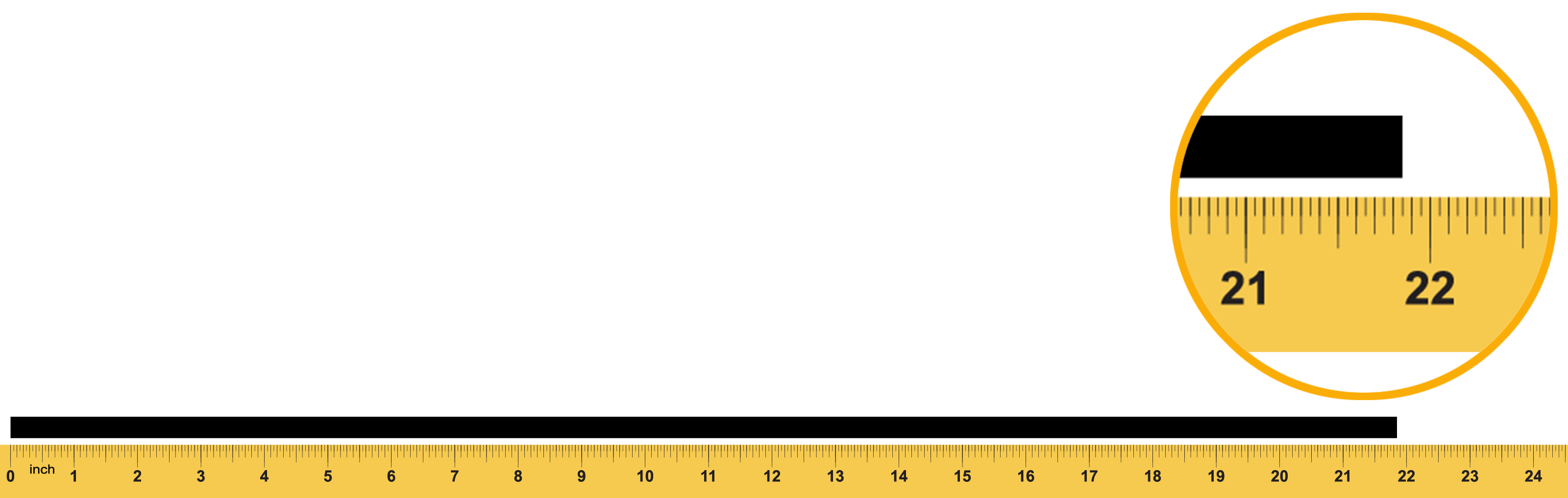
Logan needs to fix the grip of his racket with grip tape. The piece of tape needs to be 22 \(\frac{1}{2}\;\)inches long. This line below shows the length of a piece of grip tape Logan wants to use. Is this piece of tape long enough to fix Logan’s racket?

A line being measured. It measures at about 22 \(22{1}{2}\)

Word Problem Solving Steps

  1. Read the problem.
  2. Look for important information.
  3. Write a math sentence.
  4. Choose a way to solve.
  5. Solve and label your answer.
Logan with a tennis racket

Read the Problem

Logan needs to fix the grip of his racket with grip tape. The piece of tape needs to be 22 \(\frac{1}{2}\) inches long. This line below shows the length of a piece of grip tape Logan wants to use. Is this piece of tape long enough to fix Logan’s racket?. Is this piece of tape long enough to fix Logan’s racket? is underlined

A line being measured. It measures at about 22 \(22{1}{2}\)

The first step is to read. Write down the problem. Then read the problem again! It is helpful to read the problem as many times as you need to in order to see all of the important information!

Find the Important Information

Logan needs to fix the grip of his racket with grip tape. The piece of tape needs to be 22 \(\frac{1}{2}\) inches long. This line below shows the length of a piece of grip tape Logan wants to use. Is this piece of tape long enough to fix Logan’s racket?. Is this piece of tape long enough to fix Logan’s racket? is underlined

A line being measured. It measures at about 22 \(22{1}{2}\)

Now you need to look for the important information. Highlight any important numbers, and circle helpful key words. It also helps to underline the question. Click the Show Me button to see!

Logan needs to fix the grip of his racket with grip tape. The piece of tape needs to be 22 \(\frac{1}{2}\) is highlighted and inches long is circled . This line below shows the length of a piece of grip tape Logan wants to use. Is this piece of tape long enough to fix Logan’s racket?. long enough is circled. Is this piece of tape long enough to fix Logan’s racket? is underlined.

22 \(\frac{1}{2}\) is the important number. The words “inches long” and “long enough” are measurement words. The question is the last sentence. It asks if the piece of tape is long enough to fix Logan’s racket.

Choose a Way to Solve

Logan needs to fix the grip of his racket with grip tape. The piece of tape needs to be 22 \(\frac{1}{2}\) is highlighted and inches long is circled . This line below shows the length of a piece of grip tape Logan wants to use. Is this piece of tape long enough to fix Logan’s racket?. long enough is circled. Is this piece of tape long enough to fix Logan’s racket? is underlined.

A line being measured. It measures at about 22 \(22{1}{2}\)

22 \(\frac{1}{2}\) is the important number. The word problem wants you to measure the line. You do not need to write an equation, but you do need to think about how long the line needs to be. The piece of tape needs to be about 22 \(\frac{1}{2}\) inches long. The line shows how long the piece of tape is. Use the ruler on the screen to see where the line ends. Click the Show Me button to check your work!

A measurement of the line at almost 22 \(\frac{1}{2}\)

The length of the line ends between 22 and the half-inch line on the ruler.

Solve and Label Your Answer

Logan needs to fix the grip of his racket with grip tape. The piece of tape needs to be 22 \(\frac{1}{2}\) is highlighted and inches long is circled . This line below shows the length of a piece of grip tape Logan wants to use. Is this piece of tape long enough to fix Logan’s racket?. long enough is circled. Is this piece of tape long enough to fix Logan’s racket? is underlined.

A line being measured. It measures at about 22 \(22{1}{2}\)

The length of the line ends between 22 and the half-inch line on the ruler. Is the line closer to 22 or the half-inch line? Click the Show Me button to see!

A measurement of a line measuring 22 \(\frac{1}{2}\) The half inch mark is circled.

The line ends close to the half-inch line between 22 and 23. The line is about 22 \(\frac{1}{2}\) inches long.

Now that you have the length to the nearest half inch, you can answer the question. Remember, Logan needs a piece of tape that is about 22 \(\frac{1}{2}\) inches long!

Question

Is the piece of tape long enough to fix Logan’s racket?

Yes! The piece of tape is about 22 \(\frac{1}{2}\) inches long.


Now use the steps to try this out on your own!

Read and Solve

Read the word problem below. Measure the line, and then choose the correct answer.

Logan’s racket needs a new string. The string needs to be about 23 inches long. This line below shows a piece of string that was cut for Logan’s racket. Is the piece of string long enough to fix Logan’s racket?

ALTTEXT: Enter key opens full-screen view with caption; escape key exits full screen.
Yes
No

You got # out of # correct. Click the Retry button for another attempt.

You got a perfect score. Great job!